Лого сайта Reshaka.com

Решака - онлайн ответы Алгебра Алимов, Колягин за 7 класс Учебник ФГОС 2014 - 766

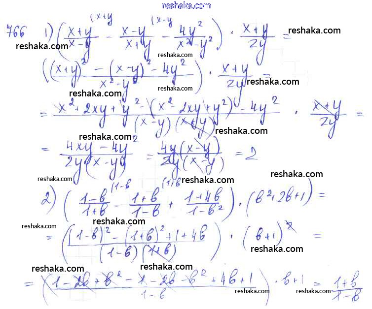
Решебник №1

повторение. упражнения / 766

Представляем вам сборники по Алгебре, с готовыми ответами к Учебнику Алимов школьной программы для учеников седьмой класса. Это не просто гдз с ответом, а с подсказками, как верно решить Упражнения для повторения курса алгебры 7 класса 766. Проверяй домашку с умом и получай высший балл!