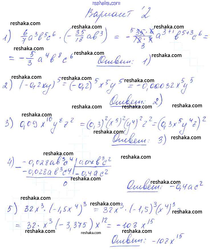
Решака - онлайн ответы Алгебра Глазков, Гаиашвили за 7 класс Самостоятельные и контрольные работы ФГОС 2019 - вариант 2
Решебник
самостоятельная работа / ср-15 / вариант 2

Представляем вам сборники по Алгебре, с готовыми ответами к Самостоятельным и контрольным работам Глазков школьной программы для учеников седьмой класса. Это не просто гдз с ответом, а с подсказками, как верно решить СР-15 Самостоятельные работы вариант 2. Проверяй домашку с умом и получай высший балл!