Решака - онлайн ответы Алгебра Глазков, Гаиашвили за 7 класс Самостоятельные и контрольные работы ФГОС 2019 - вариант 1
Решебник
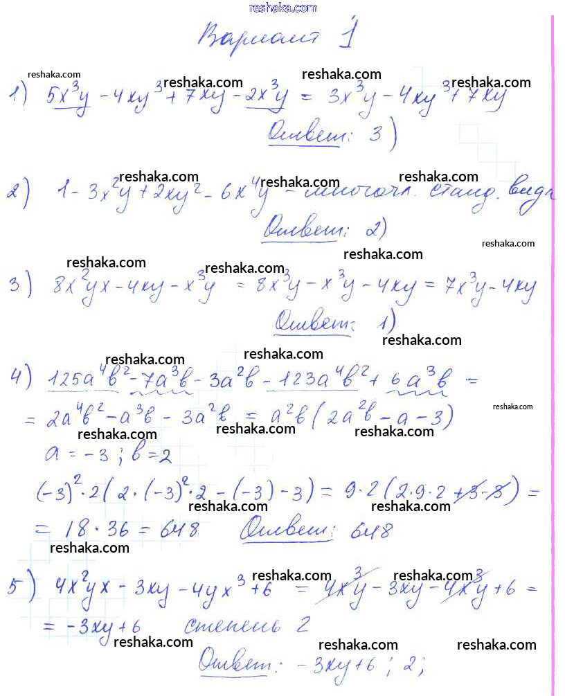
самостоятельная работа / ср-17 / вариант 1

Представляем вам сборники по Алгебре, с готовыми ответами к Самостоятельным и контрольным работам Глазков школьной программы для учеников седьмой класса. Это не просто гдз с ответом, а с подсказками, как верно решить СР-17 Самостоятельные работы вариант 1. Проверяй домашку с умом и получай высший балл!