Решака - онлайн ответы Алгебра Глазков, Гаиашвили за 7 класс Самостоятельные и контрольные работы ФГОС 2019 - вариант 3
Решебник
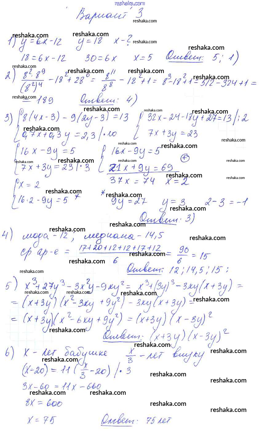
контрольная работа / кр-10 / вариант 3

Представляем вам сборники по Алгебре, с готовыми ответами к Самостоятельным и контрольным работам Глазков школьной программы для учеников седьмой класса. Это не просто гдз с ответом, а с подсказками, как верно решить КР-10 Контрольные работы вариант 3. Проверяй домашку с умом и получай высший балл!