Лого сайта Reshaka.com

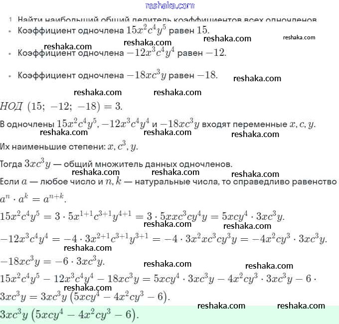
Решака - онлайн ответы Алгебра Ключникова, Комиссарова за 7 класс Рабочая тетрадь ФГОС 2013 - 6

Решебник №1

§31 / 6

Решебник №2

§31 / 6

Представляем вам сборники по Алгебре, с готовыми ответами к Рабочей тетради Ключникова школьной программы для учеников седьмой класса. Это не просто гдз с ответом, а с подсказками, как верно решить §31. Вынесение общего множителя за скобки 6. Проверяй домашку с умом и получай высший балл!