Лого сайта Reshaka.com

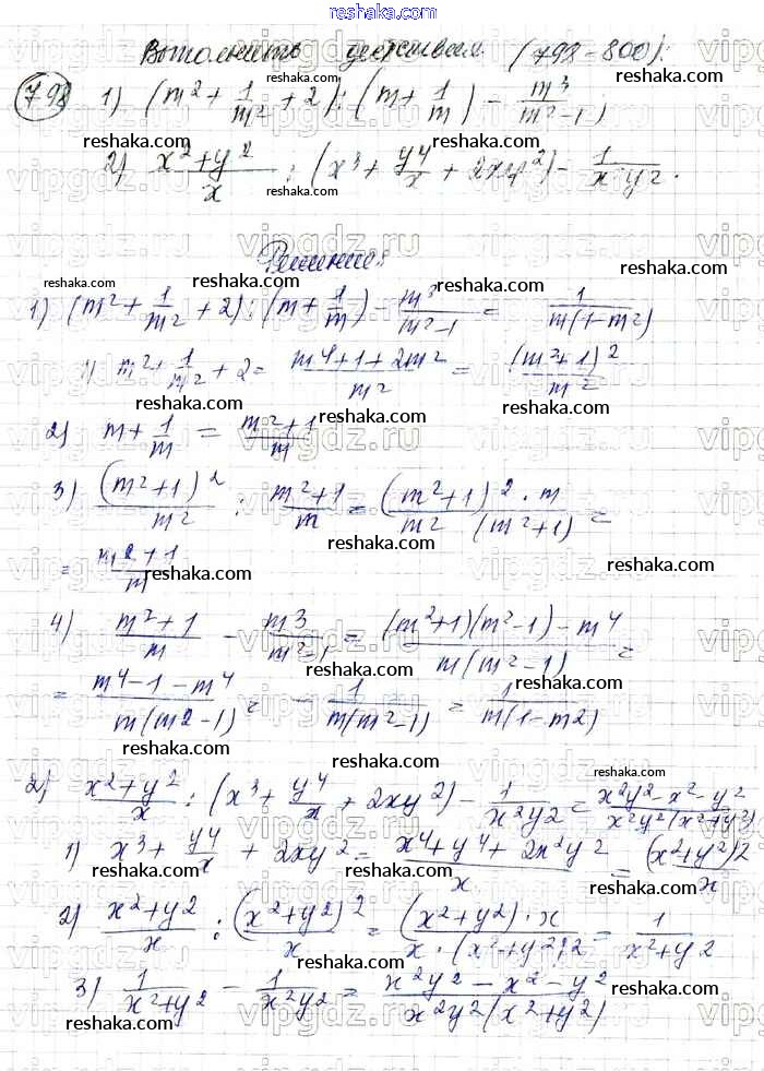
Решака - онлайн ответы Алгебра Колягин, Ткачёва за 7 класс Учебник ФГОС 2012 - 798

Представляем вам сборники по Алгебре, с готовыми ответами к Учебнику Колягин школьной программы для учеников седьмой класса. Это не просто гдз с ответом, а с подсказками, как верно решить Упражнения 798. Проверяй домашку с умом и получай высший балл!