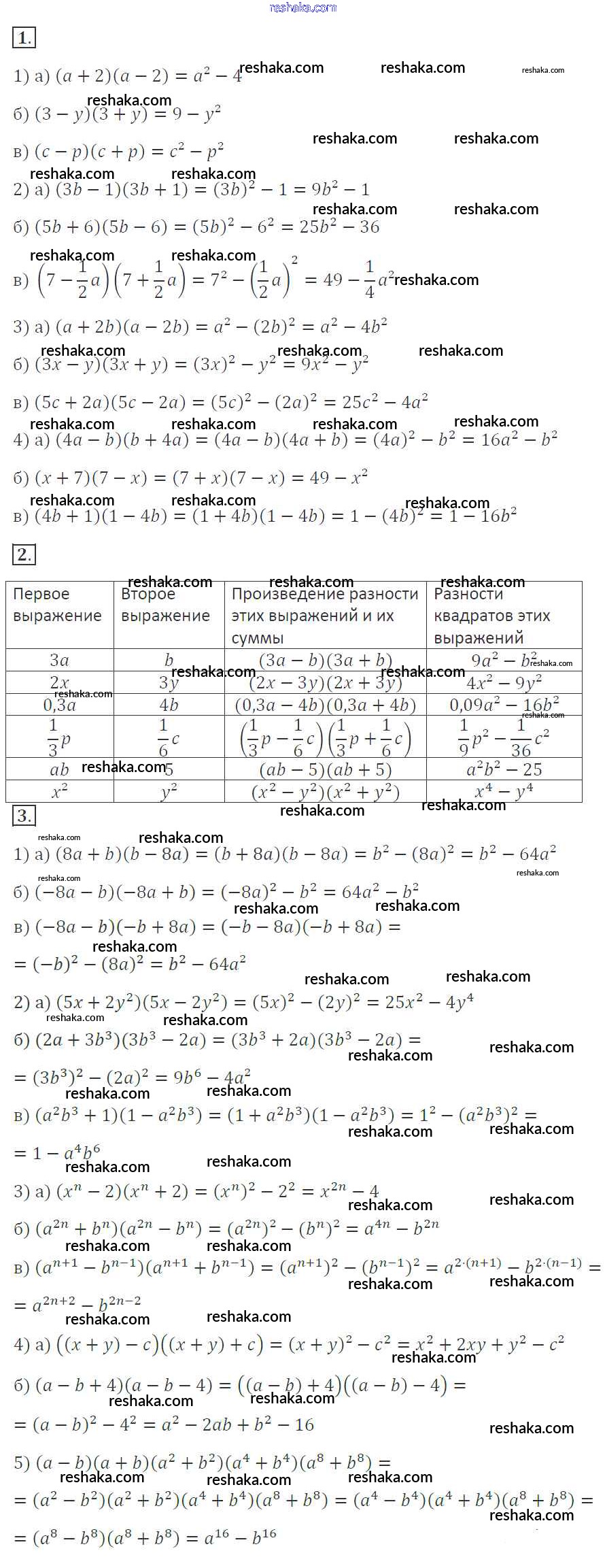
Решака - онлайн ответы Алгебра Звавич, Кузнецова за 7 класс Дидактические материалы ФГОС 2012 - С-40. Умножение многочленов с использованием формулы (a-fe)(a + 6) = a2-fe2
Решебник
самостоятельная работа. вариант / вариант 1 / с-40

Представляем вам сборники по Алгебре, с готовыми ответами к Дидактическим материалам Звавич школьной программы для учеников седьмой класса. Это не просто гдз с ответом, а с подсказками, как верно решить Вариант 1 Самостоятельные работы. Варианты С-40. Умножение многочленов с использованием формулы (a-fe)(a + 6) = a2-fe2. Проверяй домашку с умом и получай высший балл!