Решака - онлайн ответы Алгебра Макарычев, Миндюк за 7 класс Учебник ФГОС 2015 - 323
Решебник №1
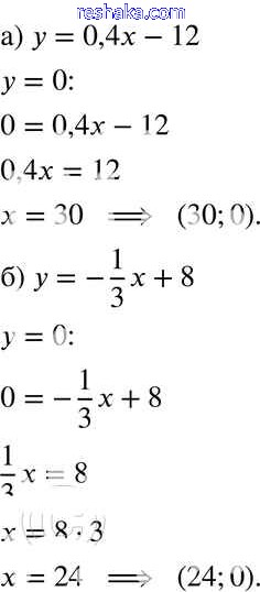
упражнение / 323

Решебник №2
упражнение / 323

Решебник №3
упражнение / 323

Решебник №4
упражнение / 323

Решебник №6
упражнение / 323

Представляем вам сборники по Алгебре, с готовыми ответами к Учебнику Макарычев школьной программы для учеников седьмой класса. Это не просто гдз с ответом, а с подсказками, как верно решить Упражнения 323. Проверяй домашку с умом и получай высший балл!