Лого сайта Reshaka.com

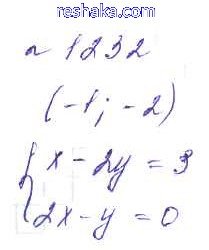
Решака - онлайн ответы Алгебра Макарычев, Миндюк за 7 класс Учебник Углубленный уровень ФГОС 2013 - 1232

Представляем вам сборники по Алгебре, с готовыми ответами к Учебнику Макарычев школьной программы для учеников седьмой класса. Это не просто гдз с ответом, а с подсказками, как верно решить Упражнения 1232. Проверяй домашку с умом и получай высший балл!