Решака - онлайн ответы Алгебра Мерзляк, Полонский за 7 класс Учебник Базовый уровень ФГОС 2016 - 202
Условия
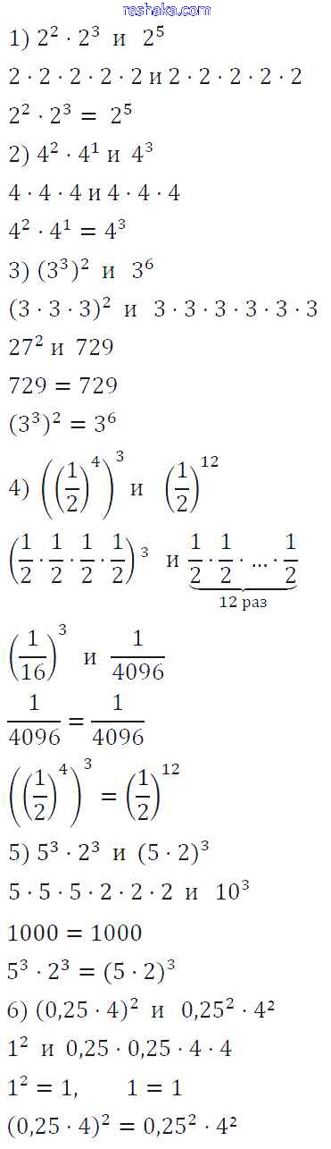
упражнение / 202

Решебник №1
упражнение / 202

Решебник №2
упражнение / 202

Решебник №4
упражнение / 202

Решебник №5
упражнение / 202

Представляем вам сборники по Алгебре, с готовыми ответами к Учебнику Мерзляк школьной программы для учеников седьмой класса. Это не просто гдз с ответом, а с подсказками, как верно решить Упражнения 202. Проверяй домашку с умом и получай высший балл!