Решака - онлайн ответы Алгебра Мерзляк, Полонский за 7 класс Учебник Базовый уровень ФГОС 2016 - 569
Условия
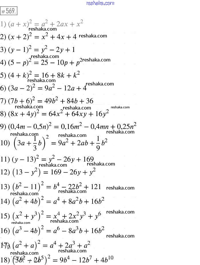
упражнение / 569

Решебник №1
упражнение / 569


Решебник №2
упражнение / 569

Решебник №3
упражнение / 569

Решебник №5
упражнение / 569

Представляем вам сборники по Алгебре, с готовыми ответами к Учебнику Мерзляк школьной программы для учеников седьмой класса. Это не просто гдз с ответом, а с подсказками, как верно решить Упражнения 569. Проверяй домашку с умом и получай высший балл!