Решака - онлайн ответы Алгебра Мерзляк, Полонский за 7 класс Учебник Базовый уровень ФГОС 2016 - 717
Условия
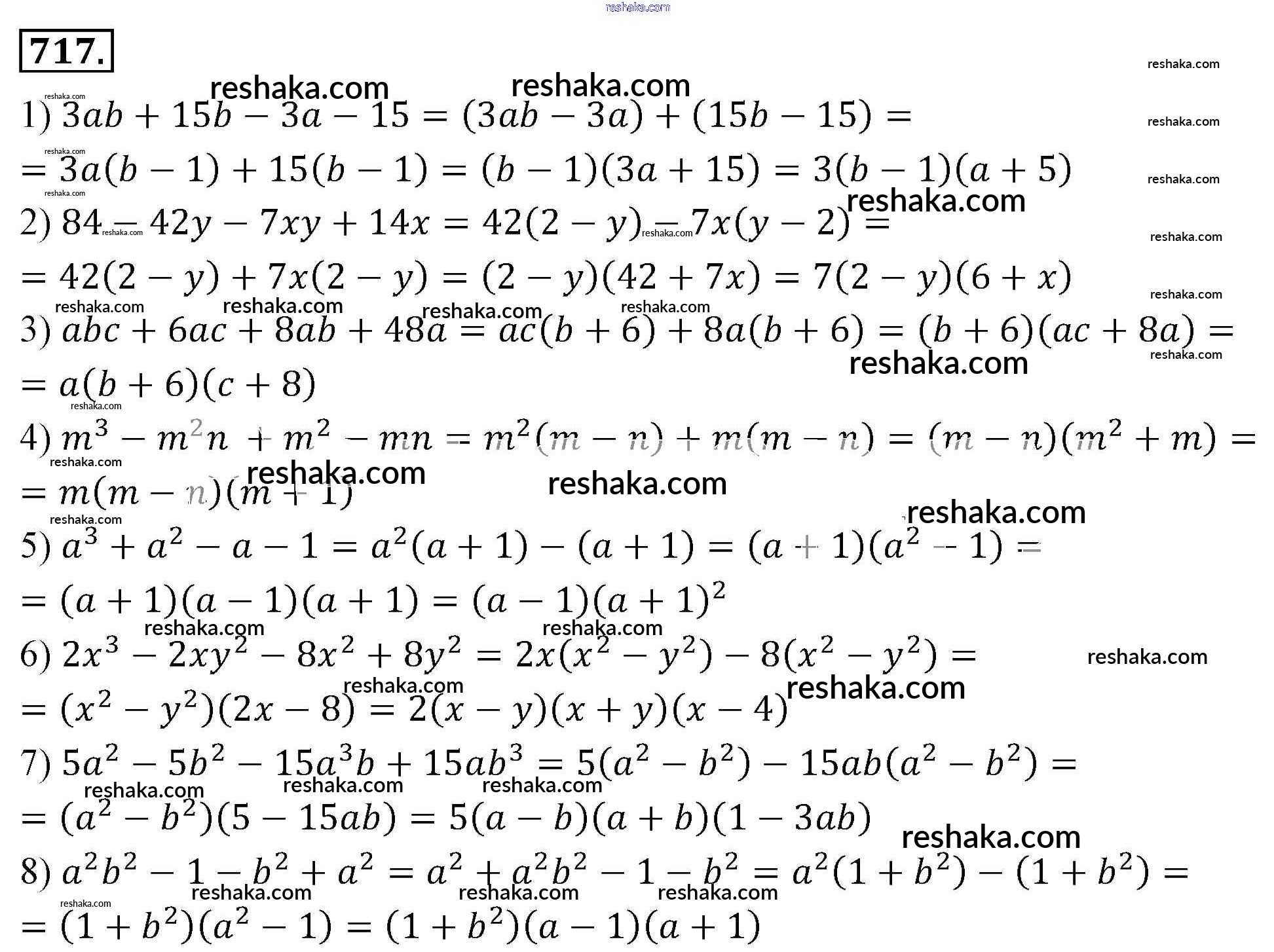
упражнение / 717

Решебник №1
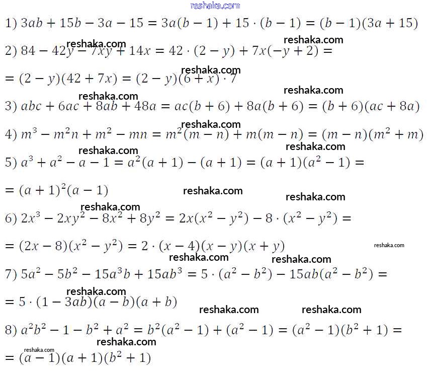
упражнение / 717


Решебник №2
упражнение / 717

Решебник №4
упражнение / 717


Решебник №5
упражнение / 717

Представляем вам сборники по Алгебре, с готовыми ответами к Учебнику Мерзляк школьной программы для учеников седьмой класса. Это не просто гдз с ответом, а с подсказками, как верно решить Упражнения 717. Проверяй домашку с умом и получай высший балл!