Решака - онлайн ответы Алгебра Мерзляк, Полонский за 7 класс Дидактические материалы ФГОС 2017 - 132
Решебник №1
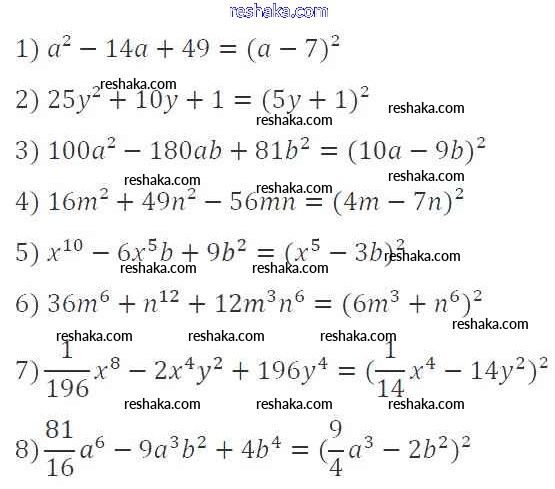
вариант 2 / 132

Решебник №2
вариант 2 / 132

Решебник №3
вариант 2 / 132

Представляем вам сборники по Алгебре, с готовыми ответами к Дидактическим материалам Мерзляк школьной программы для учеников седьмой класса. Это не просто гдз с ответом, а с подсказками, как верно решить Вариант 2 132. Проверяй домашку с умом и получай высший балл!