Решака - онлайн ответы Алгебра Мерзляк, Полонский за 7 класс Дидактические материалы ФГОС 2017 - 58
Решебник №1
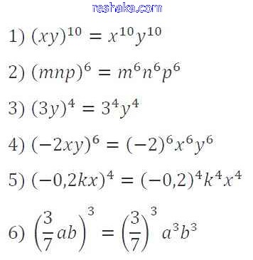
вариант 3 / 58

Решебник №3
вариант 3 / 58

Представляем вам сборники по Алгебре, с готовыми ответами к Дидактическим материалам Мерзляк школьной программы для учеников седьмой класса. Это не просто гдз с ответом, а с подсказками, как верно решить Вариант 3 58. Проверяй домашку с умом и получай высший балл!