Лого сайта Reshaka.com

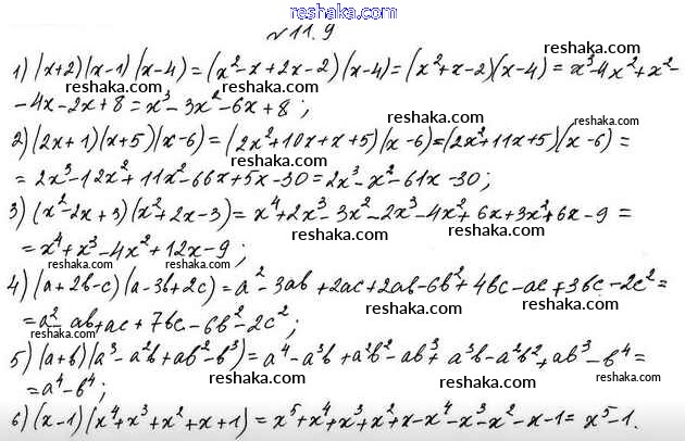
Решака - онлайн ответы Алгебра Мерзляк, Поляков за 7 класс Учебник Углубленный уровень ФГОС 2019 - 11.9

Представляем вам сборники по Алгебре, с готовыми ответами к Учебнику Мерзляк школьной программы для учеников седьмой класса. Это не просто гдз с ответом, а с подсказками, как верно решить §11. Умножение многочлена на многочлен 11.9. Проверяй домашку с умом и получай высший балл!