Лого сайта Reshaka.com

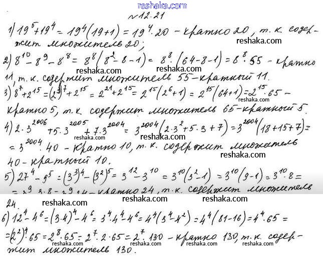
Решака - онлайн ответы Алгебра Мерзляк, Поляков за 7 класс Учебник Углубленный уровень ФГОС 2019 - 12.21

Представляем вам сборники по Алгебре, с готовыми ответами к Учебнику Мерзляк школьной программы для учеников седьмой класса. Это не просто гдз с ответом, а с подсказками, как верно решить §12. Разложение многочленов на множители. Вынесение общего множителя за скобки 12.21. Проверяй домашку с умом и получай высший балл!