Лого сайта Reshaka.com

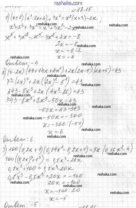
Решака - онлайн ответы Алгебра Мерзляк, Поляков за 7 класс Учебник Углубленный уровень ФГОС 2019 - 18.15

Представляем вам сборники по Алгебре, с готовыми ответами к Учебнику Мерзляк школьной программы для учеников седьмой класса. Это не просто гдз с ответом, а с подсказками, как верно решить §18. Сумма и разность кубов двух выражений 18.15. Проверяй домашку с умом и получай высший балл!