Лого сайта Reshaka.com

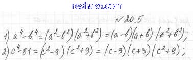
Решака - онлайн ответы Алгебра Мерзляк, Поляков за 7 класс Учебник Углубленный уровень ФГОС 2019 - 20.5

Представляем вам сборники по Алгебре, с готовыми ответами к Учебнику Мерзляк школьной программы для учеников седьмой класса. Это не просто гдз с ответом, а с подсказками, как верно решить §20. Применение различных способов разложения многочлена на множители 20.5. Проверяй домашку с умом и получай высший балл!