Лого сайта Reshaka.com

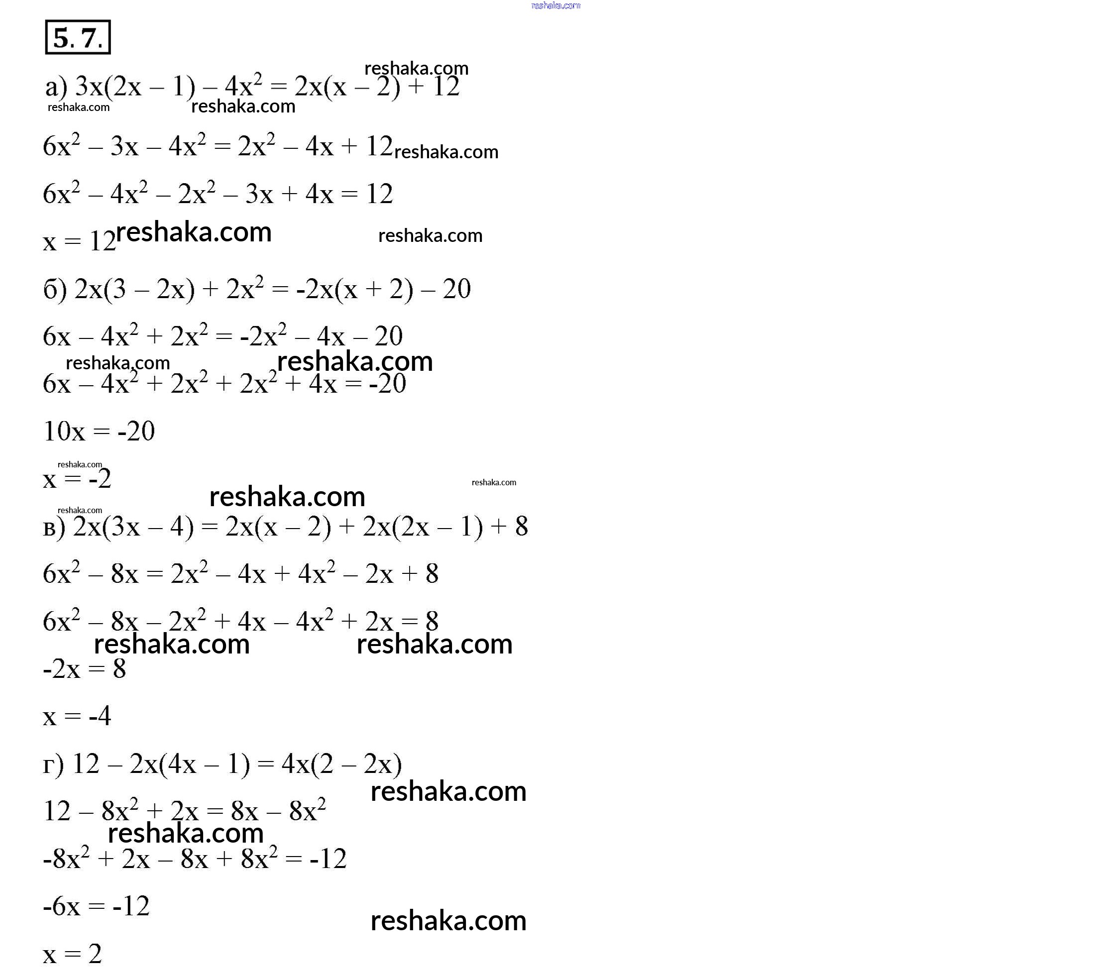
Решака - онлайн ответы Алгебра Мордкович, Семёнов за 7 класс Учебник ФГОС 2018 - 5.7

Представляем вам сборники по Алгебре, с готовыми ответами к Учебнику Мордкович школьной программы для учеников седьмой класса. Это не просто гдз с ответом, а с подсказками, как верно решить §5. Линейные уравнения с одной переменной 5.7. Проверяй домашку с умом и получай высший балл!