Решака - онлайн ответы Алгебра Мордкович, Александрова за 7 класс Задачник Базовый уровень ФГОС 2013 - 21
Условия
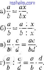
глава 1 / § 2 / 21

Решебник №1
глава 1 / § 2 / 21

Решебник №2
глава 1 / § 2 / 21

Решебник №3
глава 1 / § 2 / 21


Представляем вам сборники по Алгебре, с готовыми ответами к Задачнику Мордкович школьной программы для учеников седьмой класса. Это не просто гдз с ответом, а с подсказками, как верно решить § 2. Что такое математический язык Глава 1 21. Проверяй домашку с умом и получай высший балл!