Решака - онлайн ответы Алгебра Мордкович, Александрова за 7 класс Задачник Базовый уровень ФГОС 2013 - 41
Условия
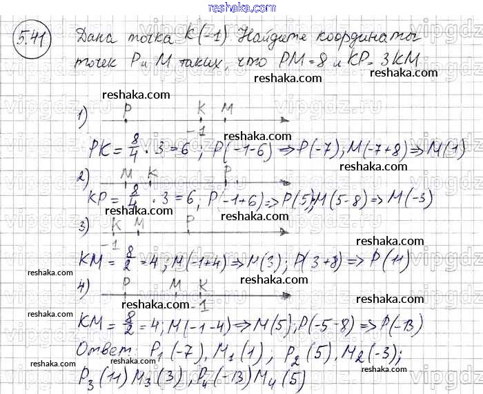
глава 1 / § 5 / 41

Решебник №1
глава 1 / § 5 / 41

Решебник №2
глава 1 / § 5 / 41


Решебник №3
глава 1 / § 5 / 41

Представляем вам сборники по Алгебре, с готовыми ответами к Задачнику Мордкович школьной программы для учеников седьмой класса. Это не просто гдз с ответом, а с подсказками, как верно решить § 5. Координатная прямая Глава 1 41. Проверяй домашку с умом и получай высший балл!