Решака - онлайн ответы Алгебра Мордкович, Александрова за 7 класс Задачник Базовый уровень ФГОС 2013 - 32
Условия
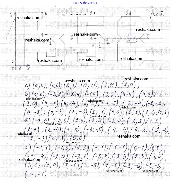
глава 1 / § 6 / 32

Решебник №1
глава 1 / § 6 / 32

Решебник №2
глава 1 / § 6 / 32

Решебник №3
глава 1 / § 6 / 32


Представляем вам сборники по Алгебре, с готовыми ответами к Задачнику Мордкович школьной программы для учеников седьмой класса. Это не просто гдз с ответом, а с подсказками, как верно решить § 6. Координатная плоскость Глава 1 32. Проверяй домашку с умом и получай высший балл!