Лого сайта Reshaka.com

Решака - онлайн ответы Алгебра Мордкович, Александрова за 7 класс Задачник Базовый уровень ФГОС 2013 - 2

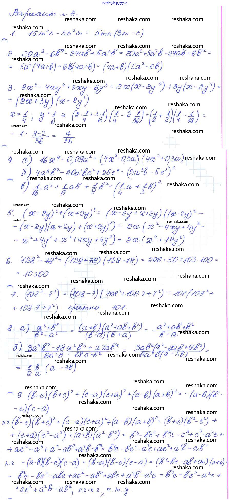
Решебник №1

контрольная работа: / № 7 / 2

Представляем вам сборники по Алгебре, с готовыми ответами к Задачнику Мордкович школьной программы для учеников седьмой класса. Это не просто гдз с ответом, а с подсказками, как верно решить № 7 Домашние контрольные работы: 2. Проверяй домашку с умом и получай высший балл!