Решака - онлайн ответы Алгебра Мордкович, Александрова за 7 класс Задачник Базовый уровень ФГОС 2013 - 4
Условия
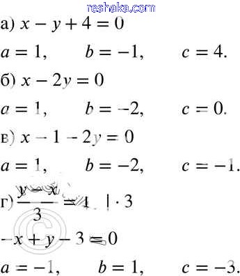
глава 2 / § 7 / 4

Решебник №1
глава 2 / § 7 / 4

Решебник №2
глава 2 / § 7 / 4

Решебник №3
глава 2 / § 7 / 4

Представляем вам сборники по Алгебре, с готовыми ответами к Задачнику Мордкович школьной программы для учеников седьмой класса. Это не просто гдз с ответом, а с подсказками, как верно решить § 7. Линейное уравнение с двумя переменными и его график Глава 2 4. Проверяй домашку с умом и получай высший балл!