Решака - онлайн ответы Алгебра Мордкович, Александрова за 7 класс Задачник Базовый уровень ФГОС 2013 - 22
Условия
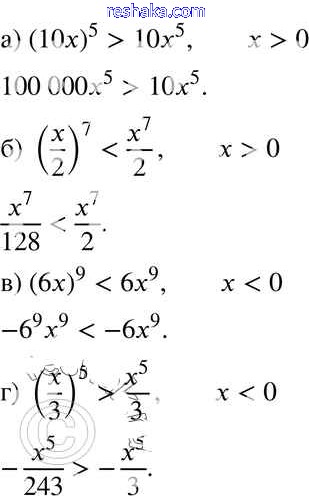
глава 4 / § 18 / 22

Решебник №1
глава 4 / § 18 / 22

Решебник №2
глава 4 / § 18 / 22

Решебник №3
глава 4 / § 18 / 22

Представляем вам сборники по Алгебре, с готовыми ответами к Задачнику Мордкович школьной программы для учеников седьмой класса. Это не просто гдз с ответом, а с подсказками, как верно решить § 18. Умножение и деление степеней с одинаковыми показателями Глава 4 22. Проверяй домашку с умом и получай высший балл!