Решака - онлайн ответы Алгебра Мордкович, Александрова за 7 класс Задачник Базовый уровень ФГОС 2013 - 26
Условия
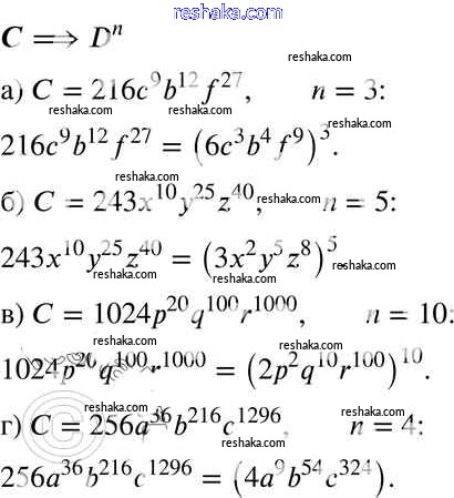
глава 5 / § 22 / 26

Решебник №1
глава 5 / § 22 / 26

Решебник №2
глава 5 / § 22 / 26

Решебник №3
глава 5 / § 22 / 26

Представляем вам сборники по Алгебре, с готовыми ответами к Задачнику Мордкович школьной программы для учеников седьмой класса. Это не просто гдз с ответом, а с подсказками, как верно решить § 22. Умножение одночленов. Возведение одночлена в натуральную степень Глава 5 26. Проверяй домашку с умом и получай высший балл!