Решака - онлайн ответы Алгебра Мордкович, Александрова за 7 класс Задачник Базовый уровень ФГОС 2013 - 11
Условия
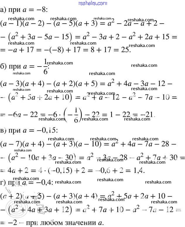
глава 6 / § 27 / 11

Решебник №1
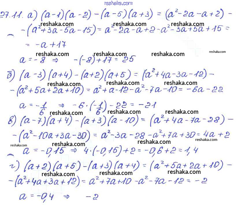
глава 6 / § 27 / 11

Решебник №2
глава 6 / § 27 / 11

Решебник №3
глава 6 / § 27 / 11


Представляем вам сборники по Алгебре, с готовыми ответами к Задачнику Мордкович школьной программы для учеников седьмой класса. Это не просто гдз с ответом, а с подсказками, как верно решить § 27. Умножение многочлена на многочлен Глава 6 11. Проверяй домашку с умом и получай высший балл!