Решака - онлайн ответы Алгебра Мордкович, Александрова за 7 класс Задачник Базовый уровень ФГОС 2013 - 63
Условия
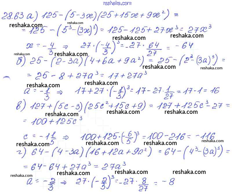
глава 6 / § 28 / 63

Решебник №1
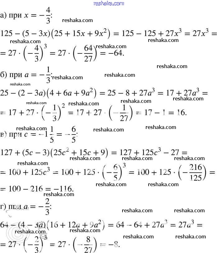
глава 6 / § 28 / 63

Решебник №2
глава 6 / § 28 / 63

Решебник №3
глава 6 / § 28 / 63

Представляем вам сборники по Алгебре, с готовыми ответами к Задачнику Мордкович школьной программы для учеников седьмой класса. Это не просто гдз с ответом, а с подсказками, как верно решить § 28. Формулы сокращенного умножения Глава 6 63. Проверяй домашку с умом и получай высший балл!