Решака - онлайн ответы Алгебра Мордкович, Александрова за 7 класс Задачник Базовый уровень ФГОС 2013 - 3
Условия
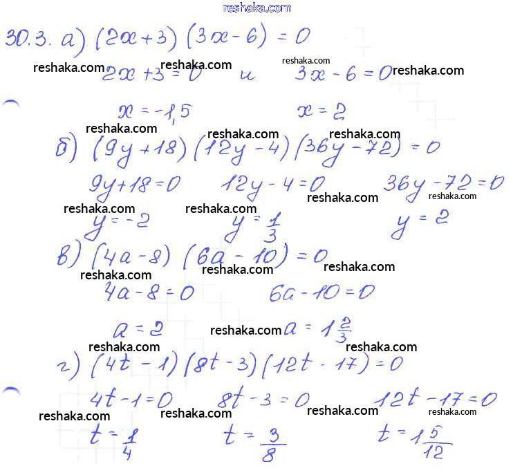
глава 7 / § 30 / 3

Решебник №1
глава 7 / § 30 / 3

Решебник №2
глава 7 / § 30 / 3

Решебник №3
глава 7 / § 30 / 3

Представляем вам сборники по Алгебре, с готовыми ответами к Задачнику Мордкович школьной программы для учеников седьмой класса. Это не просто гдз с ответом, а с подсказками, как верно решить § 30. Что такое разложение многочленов на множители и зачем оно нужно Глава 7 3. Проверяй домашку с умом и получай высший балл!