Решака - онлайн ответы Алгебра Мордкович, Александрова за 7 класс Задачник Базовый уровень ФГОС 2013 - 50
Условия
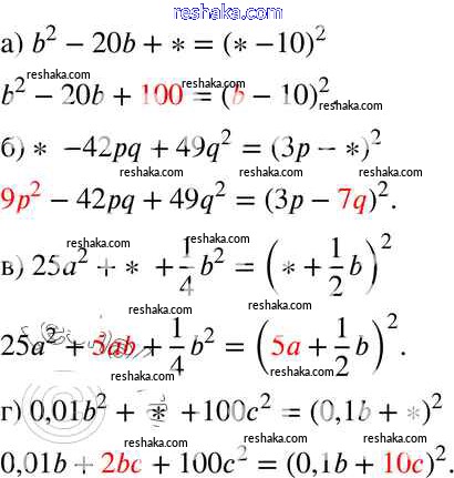
глава 7 / § 33 / 50

Решебник №1
глава 7 / § 33 / 50

Решебник №2
глава 7 / § 33 / 50

Решебник №3
глава 7 / § 33 / 50

Представляем вам сборники по Алгебре, с готовыми ответами к Задачнику Мордкович школьной программы для учеников седьмой класса. Это не просто гдз с ответом, а с подсказками, как верно решить § 33. Разложение многочленов на множители с помощью формул сокращенного умножения Глава 7 50. Проверяй домашку с умом и получай высший балл!