Решака - онлайн ответы Алгебра Мордкович, Александрова за 7 класс Задачник Базовый уровень ФГОС 2013 - 29
Условия
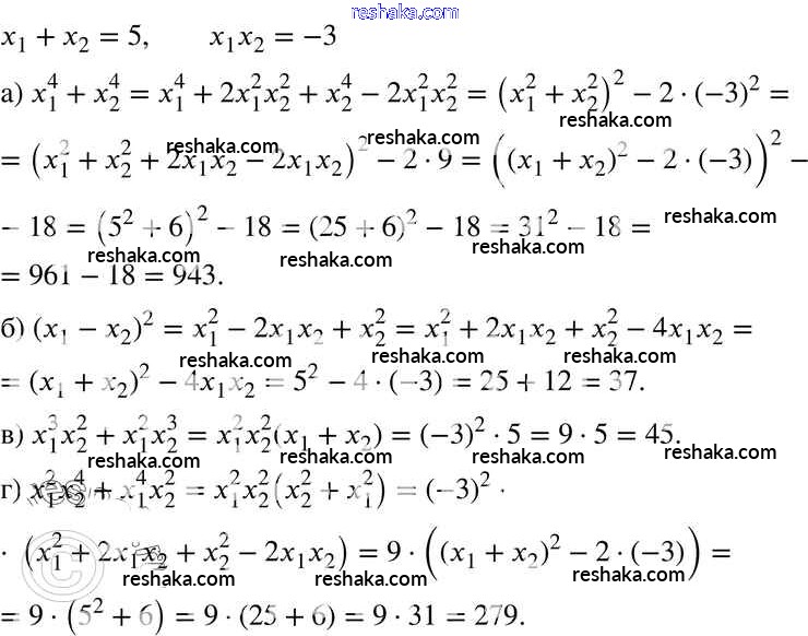
глава 7 / § 34 / 29

Решебник №1
глава 7 / § 34 / 29

Решебник №2
глава 7 / § 34 / 29

Решебник №3
глава 7 / § 34 / 29

Представляем вам сборники по Алгебре, с готовыми ответами к Задачнику Мордкович школьной программы для учеников седьмой класса. Это не просто гдз с ответом, а с подсказками, как верно решить § 34. Разложение многочленов на множители с помощью комбинаций различных приемов Глава 7 29. Проверяй домашку с умом и получай высший балл!