Решака - онлайн ответы Алгебра Мордкович, Александрова за 7 класс Задачник Базовый уровень ФГОС 2013 - 40
Условия
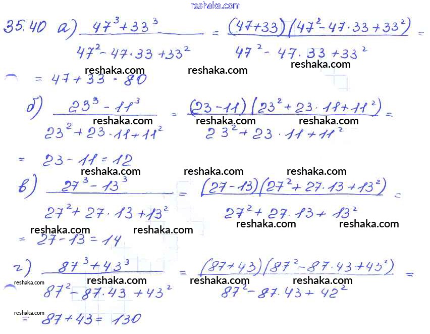
глава 7 / § 35 / 40

Решебник №1
глава 7 / § 35 / 40

Решебник №2
глава 7 / § 35 / 40

Решебник №3
глава 7 / § 35 / 40

Представляем вам сборники по Алгебре, с готовыми ответами к Задачнику Мордкович школьной программы для учеников седьмой класса. Это не просто гдз с ответом, а с подсказками, как верно решить § 35. Сокращение алгебраических дробей Глава 7 40. Проверяй домашку с умом и получай высший балл!