Решака - онлайн ответы Алгебра Мордкович, Александрова за 7 класс Задачник Базовый уровень ФГОС 2013 - 18
Условия
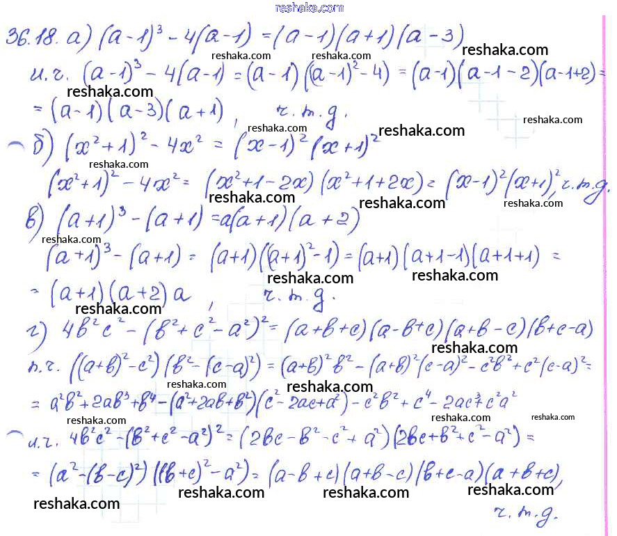
глава 7 / § 36 / 18

Решебник №1
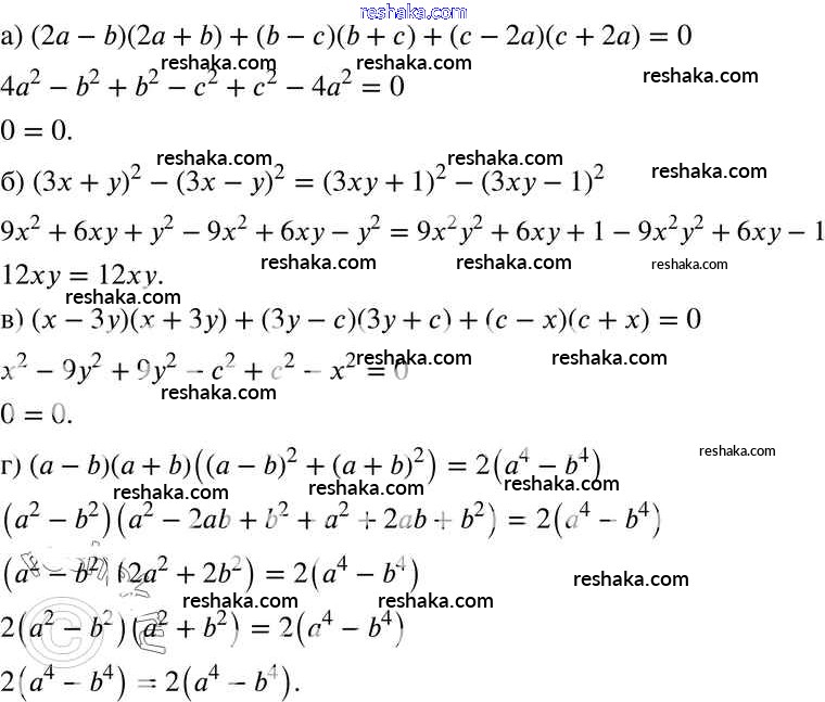
глава 7 / § 36 / 18

Решебник №2
глава 7 / § 36 / 18

Решебник №3
глава 7 / § 36 / 18

Представляем вам сборники по Алгебре, с готовыми ответами к Задачнику Мордкович школьной программы для учеников седьмой класса. Это не просто гдз с ответом, а с подсказками, как верно решить § 36. Тождества Глава 7 18. Проверяй домашку с умом и получай высший балл!