Решака - онлайн ответы Алгебра Мордкович, Александрова за 7 класс Задачник Базовый уровень ФГОС 2013 - 39
Условия
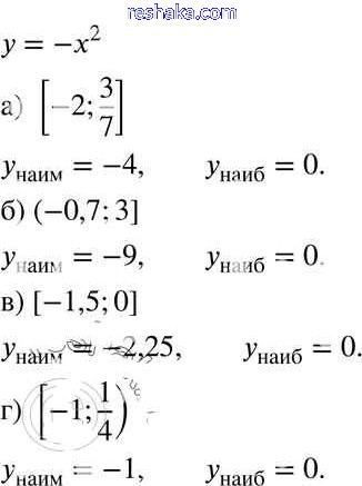
глава 8 / § 37 / 39

Решебник №1
глава 8 / § 37 / 39

Решебник №2
глава 8 / § 37 / 39

Решебник №3
глава 8 / § 37 / 39

Представляем вам сборники по Алгебре, с готовыми ответами к Задачнику Мордкович школьной программы для учеников седьмой класса. Это не просто гдз с ответом, а с подсказками, как верно решить § 37. Функция у = х2 и ее график Глава 8 39. Проверяй домашку с умом и получай высший балл!