Лого сайта Reshaka.com

Решака - онлайн ответы Алгебра Никольский, Потапов за 7 класс Учебник ФГОС 2013 - 472

Решебник №1

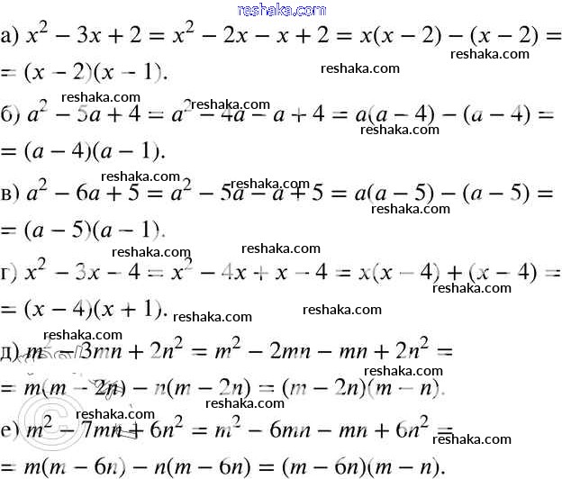
упражнение / 472

Решебник №2

упражнение / 472

Решебник №3

упражнение / 472

Представляем вам сборники по Алгебре, с готовыми ответами к Учебнику Никольский школьной программы для учеников седьмой класса. Это не просто гдз с ответом, а с подсказками, как верно решить Упражнения 472. Проверяй домашку с умом и получай высший балл!