Решака - онлайн ответы Алгебра Попов за 7 класс Дидактические материалы ФГОС 2016 - 2
Решебник
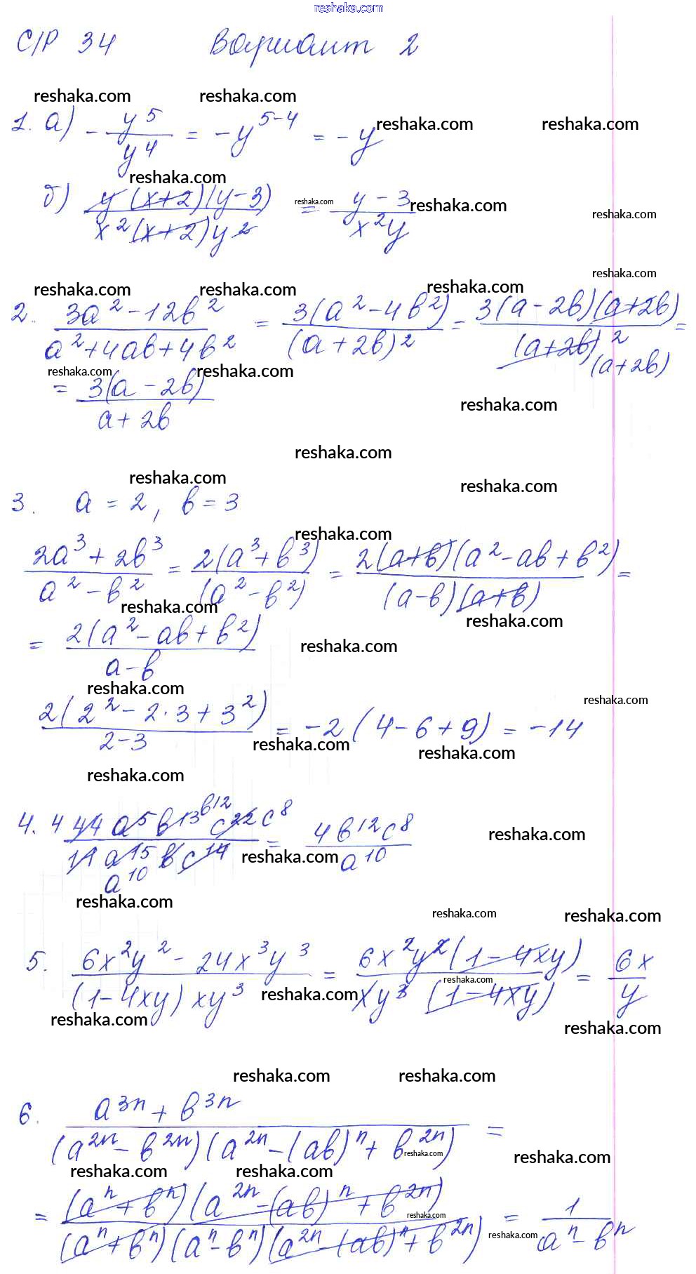
самостоятельная работа. вариант / ср-34 / 2

Представляем вам сборники по Алгебре, с готовыми ответами к Дидактическим материалам Попов школьной программы для учеников седьмой класса. Это не просто гдз с ответом, а с подсказками, как верно решить СР-34 Самостоятельные работы. Варианты 2. Проверяй домашку с умом и получай высший балл!