Решака - онлайн ответы Алгебра Попов за 7 класс Контрольные и самостоятельные работы ФГОС 2017 - 2
Решебник
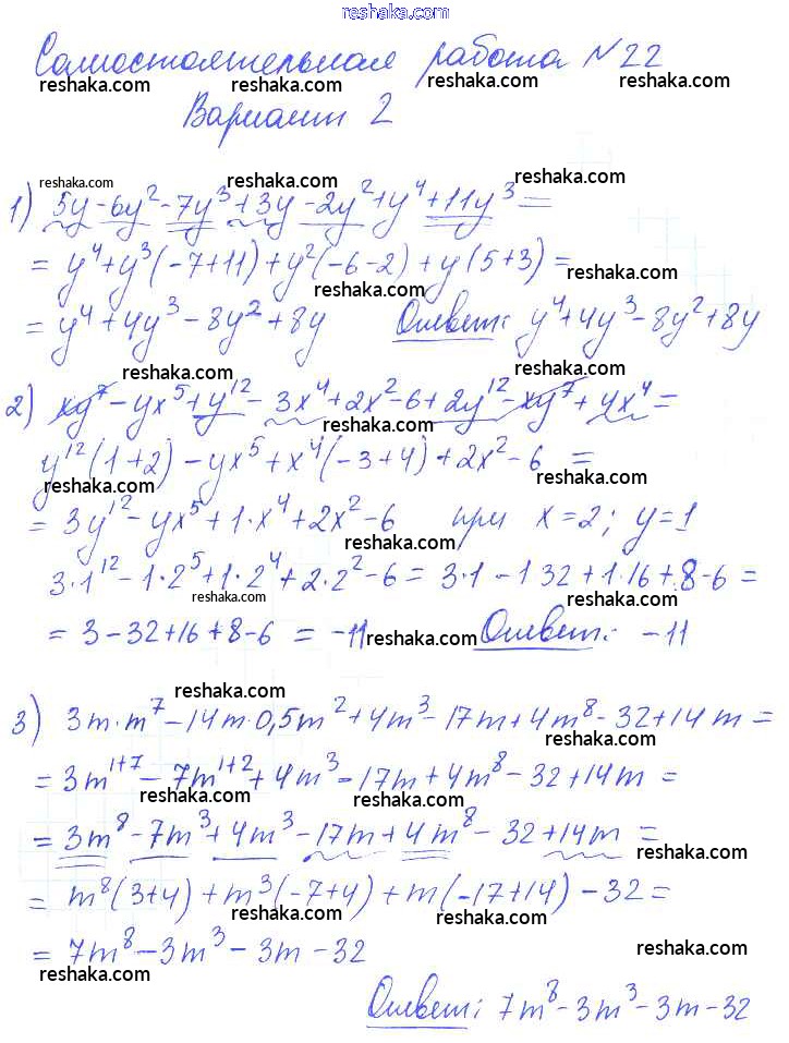
самостоятельная работа. вариант / ср-22 / 2

Представляем вам сборники по Алгебре, с готовыми ответами к Контрольным и самостоятельным работам Попов школьной программы для учеников седьмой класса. Это не просто гдз с ответом, а с подсказками, как верно решить СР-22 Самостоятельные работы. Варианты 2. Проверяй домашку с умом и получай высший балл!