Решака - онлайн ответы Алгебра Потапов, Шевкин за 7 класс Дидактические материалы ФГОС 2017 - 2
Решебник
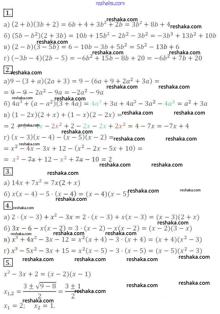
самостоятельная работа / ср-10. вариант / 2

Представляем вам сборники по Алгебре, с готовыми ответами к Дидактическим материалам Потапов школьной программы для учеников седьмой класса. Это не просто гдз с ответом, а с подсказками, как верно решить СР-10. Варианты Cамостоятельные работы 2. Проверяй домашку с умом и получай высший балл!