Решака - онлайн ответы Алгебра Потапов, Шевкин за 7 класс Дидактические материалы ФГОС 2017 - 4
Решебник
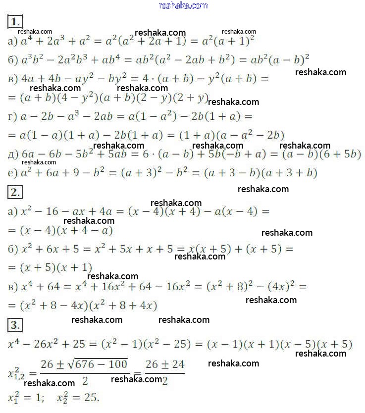
самостоятельная работа / ср-13. вариант / 4

Представляем вам сборники по Алгебре, с готовыми ответами к Дидактическим материалам Потапов школьной программы для учеников седьмой класса. Это не просто гдз с ответом, а с подсказками, как верно решить СР-13. Варианты Cамостоятельные работы 4. Проверяй домашку с умом и получай высший балл!