Лого сайта Reshaka.com

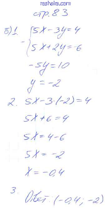
Решака - онлайн ответы Алгебра Зубарева, Мильштейн за 7 класс Рабочая тетрадь ФГОС 2019 - 83

Представляем вам сборники по Алгебре, с готовыми ответами к Рабочей тетради Зубарева школьной программы для учеников седьмой класса. Это не просто гдз с ответом, а с подсказками, как верно решить Часть 1. Страницы 83. Проверяй домашку с умом и получай высший балл!