Решака - онлайн ответы Алгебра Звавич, Дьяконова за 7 класс Дидактические материалы ФГОС 2018 - Подготовительный вариант
Решебник
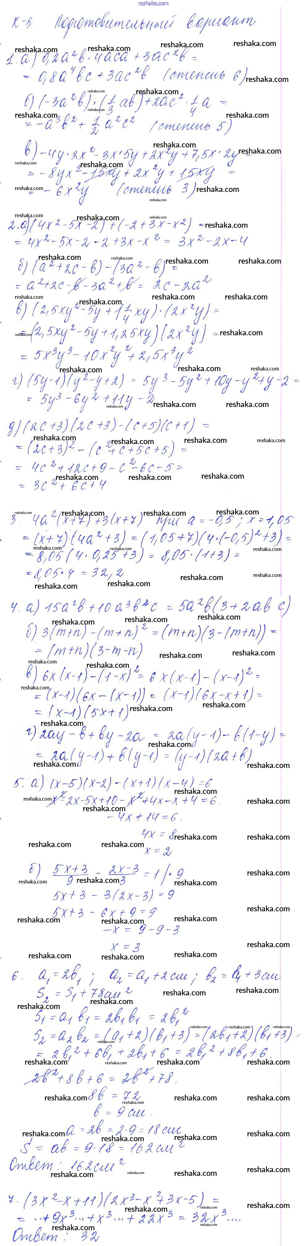
контрольная работа / кр-5 / подготовительный вариант

Представляем вам сборники по Алгебре, с готовыми ответами к Дидактическим материалам Звавич школьной программы для учеников седьмой класса. Это не просто гдз с ответом, а с подсказками, как верно решить КР-5 Контрольные работы Подготовительный вариант. Проверяй домашку с умом и получай высший балл!