Лого сайта Reshaka.com

Решака - онлайн ответы Алгебра Звавич, Дьяконова за 7 класс Дидактические материалы ФГОС 2018 - 14

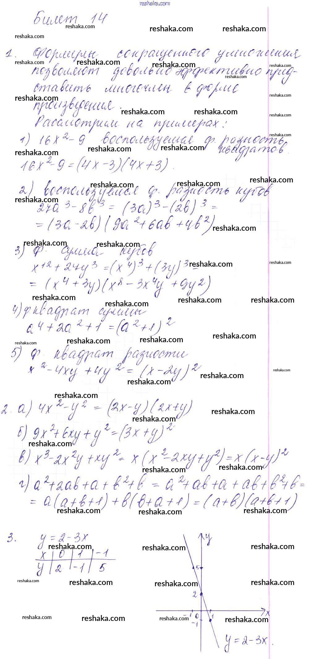
Представляем вам сборники по Алгебре, с готовыми ответами к Дидактическим материалам Звавич школьной программы для учеников седьмой класса. Это не просто гдз с ответом, а с подсказками, как верно решить Билеты 14. Проверяй домашку с умом и получай высший балл!