Лого сайта Reshaka.com

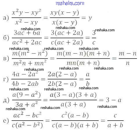
Решака - онлайн ответы Алгебра Дорофеев, Суворова за 8 класс Учебник ФГОС 2014 - 29

Решебник 1

упражнение / 29

Решебник 2

упражнение / 29

Представляем вам сборники по Алгебре, с готовыми ответами к Учебнику Дорофеев школьной программы для учеников восьмой класса. Это не просто гдз с ответом, а с подсказками, как верно решить Упражнения 29. Проверяй домашку с умом и получай высший балл!