Лого сайта Reshaka.com

Решака - онлайн ответы Алгебра Дорофеев, Суворова за 8 класс Учебник ФГОС 2014 - 639

Решебник 1

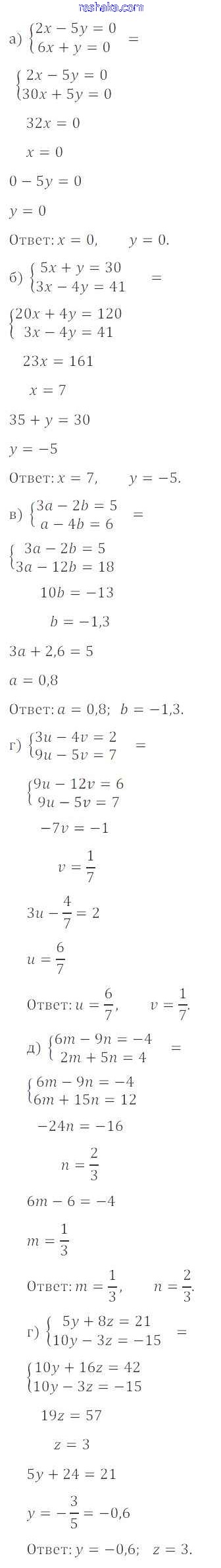
упражнение / 639

Решебник 2

упражнение / 639

Представляем вам сборники по Алгебре, с готовыми ответами к Учебнику Дорофеев школьной программы для учеников восьмой класса. Это не просто гдз с ответом, а с подсказками, как верно решить Упражнения 639. Проверяй домашку с умом и получай высший балл!