Лого сайта Reshaka.com

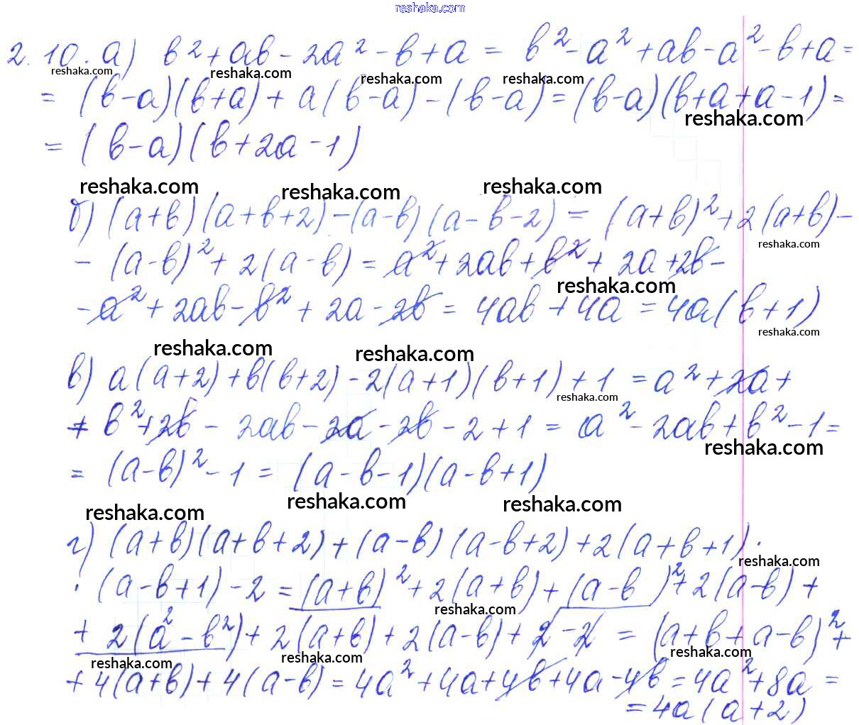
Решака - онлайн ответы Алгебра Галицкий, Гольдман за 8 класс Сборник задач ФГОС 2019 - 2.10

Представляем вам сборники по Алгебре, с готовыми ответами к Сборнику задач Галицкий школьной программы для учеников восьмой класса. Это не просто гдз с ответом, а с подсказками, как верно решить §2. Рациональные дроби 2.10. Проверяй домашку с умом и получай высший балл!