Лого сайта Reshaka.com

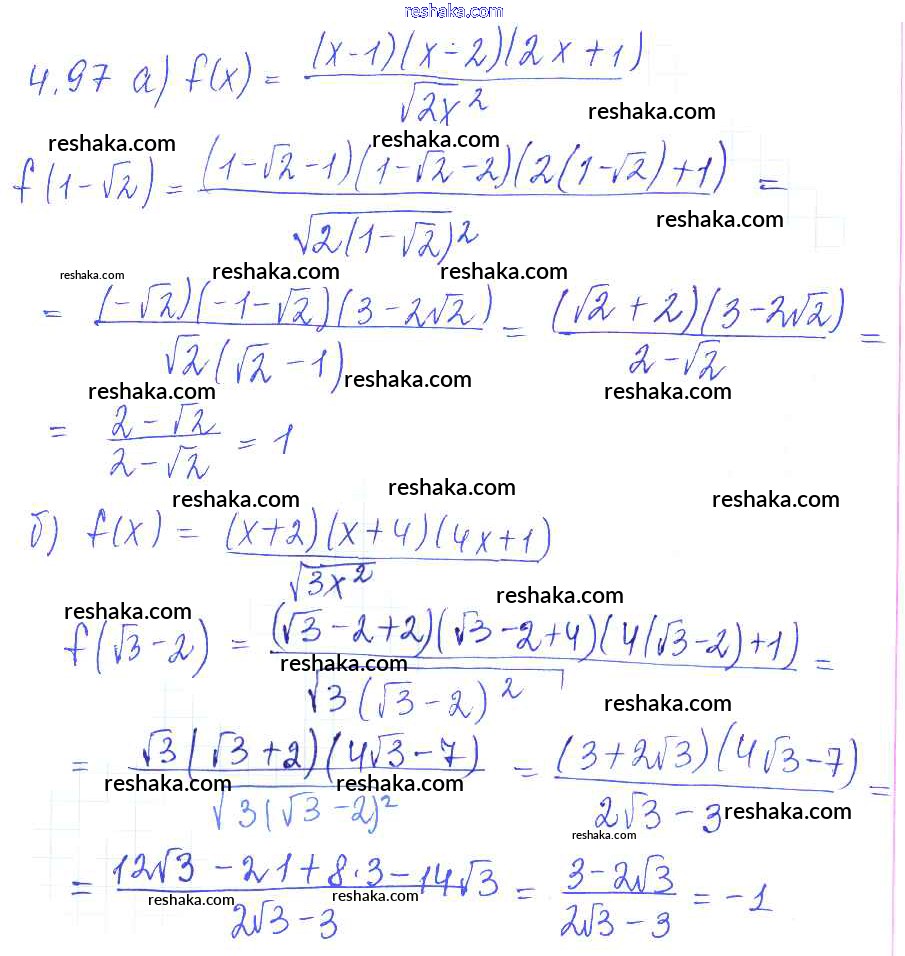
Решака - онлайн ответы Алгебра Галицкий, Гольдман за 8 класс Сборник задач ФГОС 2019 - 4.97

Представляем вам сборники по Алгебре, с готовыми ответами к Сборнику задач Галицкий школьной программы для учеников восьмой класса. Это не просто гдз с ответом, а с подсказками, как верно решить §4. Квадратные корни 4.97. Проверяй домашку с умом и получай высший балл!