Лого сайта Reshaka.com

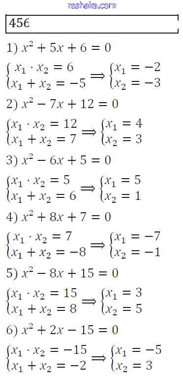
Решака - онлайн ответы Алгебра Колягин, Ткачёва за 8 класс Учебник ФГОС 2013 - 456

Представляем вам сборники по Алгебре, с готовыми ответами к Учебнику Колягин школьной программы для учеников восьмой класса. Это не просто гдз с ответом, а с подсказками, как верно решить Упражнения 456. Проверяй домашку с умом и получай высший балл!