Решака - онлайн ответы Алгебра Колягин, Ткачёва за 8 класс Учебник ФГОС 2013 - 6
Решебник
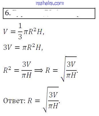
практические и прикладные задачи / глава 3. упражнение / 6

Представляем вам сборники по Алгебре, с готовыми ответами к Учебнику Колягин школьной программы для учеников восьмой класса. Это не просто гдз с ответом, а с подсказками, как верно решить Глава 3. Упражнения Практические и прикладные задачи 6. Проверяй домашку с умом и получай высший балл!