Решака - онлайн ответы Алгебра Макарычев, Миндюк за 8 класс Учебник ФГОС 2016 - 672
Учебник
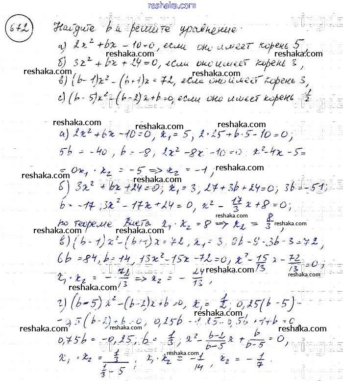
упражнение / 672

Решебник №1
упражнение / 672


Решебник №2
упражнение / 672

Решебник №3
упражнение / 672



Решебник №4
упражнение / 672

Решебник №6
упражнение / 672

Решебник №7
упражнение / 672

Представляем вам сборники по Алгебре, с готовыми ответами к Учебнику Макарычев школьной программы для учеников восьмой класса. Это не просто гдз с ответом, а с подсказками, как верно решить Упражнения 672. Проверяй домашку с умом и получай высший балл!