Лого сайта Reshaka.com

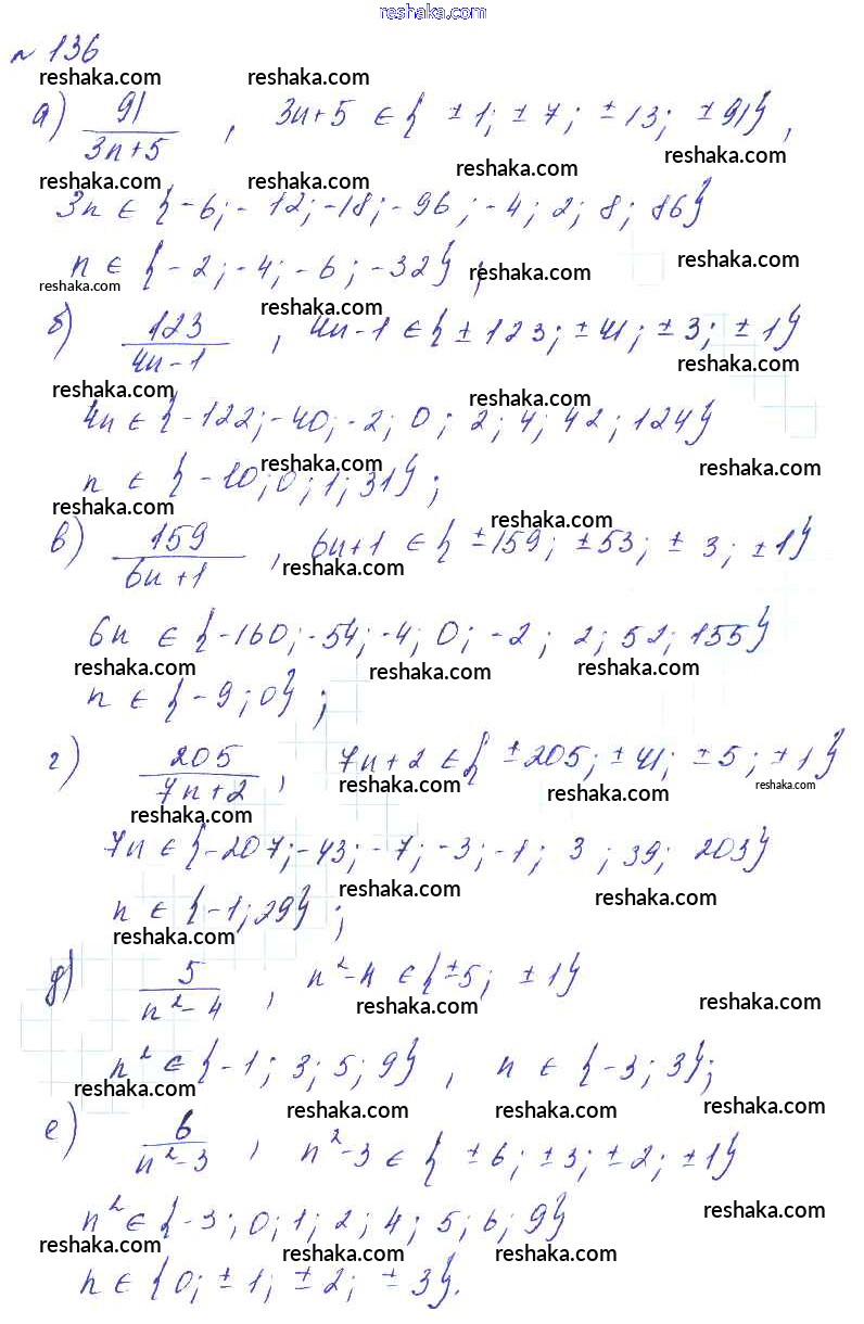
Решака - онлайн ответы Алгебра Макарычев, Миндюк за 8 класс Учебник Углубленный уровень ФГОС 2014 - 136

Представляем вам сборники по Алгебре, с готовыми ответами к Учебнику Макарычев школьной программы для учеников восьмой класса. Это не просто гдз с ответом, а с подсказками, как верно решить Упражнения 136. Проверяй домашку с умом и получай высший балл!